26 de novembro de 2020
Atualizado em 21 de agosto 2025
Um sistema fotovoltaico é formado por alguns subsistemas e componentes, os quais individualmente possuem determinadas funções. Por exemplo, os módulos fotovoltaicos podem ser vistos como um subsistema do sistema FV, cuja função é converter a luz em eletricidade, especificamente em corrente contínua. Por sua vez, existem os elementos que compõem os módulos, por exemplo: células FV, diodos de by-pass, vidro, dentre outros. Este subsistema (módulos), possuem sua própria eficiência de conversão. Também existe um outro subsistema que compõe o sistema fotovoltaico, também composto por alguns elementos e que também possui a sua própria eficiência de conversão: o inversor. Até mesmo os componentes (elementos) que fazem parte dos subsistemas, possuem a sua própria eficiência. É o caso dos relés de estado sólido para aplicações em eletrônica de potência, presentes dentro dos inversores, que continuam avançando tanto em aplicações de alta eficiência quanto de altas temperaturas.
Nesse contexto, temos visto uma situação muito comum na elaboração de projetos de sistemas fotovoltaicos, que é definir a eficiência do sistema baseando-se somente na eficiência dos módulos ou dos inversores fotovoltaicos.
A eficiência de um sistema fotovoltaico depende da arquitetura do sistema, das perdas características desse sistema (térmicas, ôhmicas, mismatch, etc.), da eficiência dos módulos, dos inversores e dos transformadores que eventualmente possam compor esse sistema FV.
Figura 1 – Os módulos fotovoltaicos são apenas um dos elementos que compõem um sistema fotovoltaico.
Neste artigo veremos qual a interpretação física da eficiência de um inversor fotovoltaico, o que significa, como são medidas e para que servem as eficiências de pico, ponderada CEC e ponderada EU. Responderemos se vale a pena investir em inversores que, na folha de dados técnicos, supostamente são mais eficientes e, por fim, se a eficiência é realmente uma característica técnica importante na hora de elaborar um projeto e/ou escolher um inversor fotovoltaico.
Eficiência do inversor fotovoltaico
No caso de um inversor fotovoltaico conectado à rede, a potência de saída (disponível para a rede) é igual a potência de entrada (disponibilizada pelo arranjo fotovoltaico) multiplicada pela eficiência do inversor [1]:

Colocando a eficiência em evidência, temos, em termos percentuais:

Na prática, estamos calculando qual a porcentagem da potência disponível na entrada que foi disponibilizada na saída do inversor FV. Nenhum conversor de energia é 100% eficiente, pois sempre haverá perdas, como perdas por chaveamento, perdas térmicas, dentre outras.
Eficiência de pico
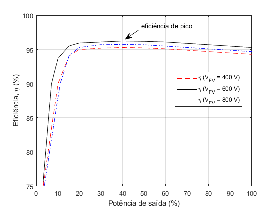
A eficiência de um inversor FV não é constante, ela varia de acordo com a quantidade de energia que está sendo convertida no momento, de acordo com a tensão CC e, eventualmente, de acordo com a temperatura do inversor. Cada inversor possuirá a sua própria curva de eficiência. A Figura 2 apresenta alguns exemplos de curvas de eficiência de um inversor fotovoltaico em função da potência de saída e tensão CC.
Figura 2 – Curvas de eficiência de conversão CC-CA como função da potência de saída de um inversor FV para diferentes tensões CC de entrada.
Como pode ser observado, existe uma eficiência de pico que pode ser encontrada no gráfico. No entanto, a eficiência de pico nas folhas de dados técnicos não é um valor útil, pois na maioria das vezes os inversores operam fora de sua potência nominal. Por exemplo, mesmo que um inversor apresente uma eficiência de pico de 99% em sua folha de dados técnicos, ele poderá operar com essa eficiência durante um instante do dia ou nunca operar com essa eficiência. Em virtude dos inversores nem sempre operarem em condições ideais, a eficiência ponderada se mostra como uma medida mais adequada.
Eficiência Californiana (CEC)
O Sandia National Laboratories, Endecon Engineering, BEW Engineering e o Institute for Sustainable Technology desenvolveram um protocolo de teste para avaliar o desempenho de inversores usados em sistemas fotovoltaicos conectados à rede [3]. Este protocolo foi adotado pela California Energy Commission (CEC).
A eficiência CEC é calculada como uma média ponderada das eficiências de conversão CC-CA em seis medidas de carregamento (10%, 20%, 30%, 50%, 75% e 100%) e em três níveis de tensão CC (Vmin, Vnom, and Vmax), totalizando 18 medições. Ela é determinada por:

Para a Eficiência CEC é dado um peso maior para o carregamento de 75% pois nesta região os níveis de irradiância são mais elevados em comparação com a Eficiência Europeia que veremos a seguir.
Eficiência Europeia (EU)
Um outro tipo de eficiência ponderada é a chamada Eficiência Europeia (EU). Ela é determinada por:

Para a Eficiência EU, o fator de ponderação que possui um maior peso é no carregamento de 50%, pois é o mais comum da Europa em função de sua menor irradiância em comparação com a Califórnia.
Outras Eficiências Ponderadas
Em 2010 o Laboratório Photon propôs duas eficiências ponderadas, sendo uma para perfis de média irradiância e outra para perfis de alta irradiância. Na verdade, ela utilizou os mesmos fatores de ponderação das eficiências europeia (média irradiância) e californiana (alta irradiância). Em contrapartida, existem várias proposições para a criação de uma eficiência brasileira [4-5], visto que tanto a eficiência ponderada californiana quanto a europeia não refletem o nosso perfil de irradiância.
Portanto, até aqui constatamos o fato de que a eficiência de pico não é adequada para avaliar a eficiência de um inversor fotovoltaico e que as eficiências ponderadas CEC e EU não caracterizam bem a eficiência dos inversores no Brasil.
Resultados em Laboratório vs. Resultados em Campo
Determinar a eficiência do inversor não é tão simples quanto a relação entre a potência de entrada e a de saída, ela envolve outros fatores como a tensão de entrada e o seguidor do ponto de máxima potência [5]. Para obter resultados corretos é fundamental considerar o fato de que o seguidor do ponto de máxima potência do inversor também determina a sua tensão de entrada, consequentemente, influencia a eficiência de conversão [6-7].
A eficiência do seguidor do ponto de máxima potência pode ser dividida em eficiência estática e dinâmica [5]. Não é complicado obter a eficiência estática do MPPT, pois em laboratório, com o uso de um simulador de arranjo fotovoltaico, com potência de entrada e temperatura controladas, o ponto de máxima potência do inversor permanece fixo durante as medições.
No entanto, o próprio conceito de eficiência dinâmica do MPPT não é muito claro devido à dificuldade em se definir uma variação padrão da irradiância [5]. Isso faz com que, em campo, os resultados dos cálculos de eficiência dos inversores possam divergir completamente do esperado. Por exemplo, um algoritmo de MPPT preciso, porém lento, que tenha dificuldades para encontrar rapidamente o ponto de máxima potência durante uma mudança nas condições de irradiância pode provocar esse resultado. Esta situação é relatada em [2].
Portanto, mesmo adotando-se uma eficiência ponderada, ainda que seja uma eficiência brasileira, existirá a possibilidade de serem constatadas eficiências em campo divergentes das informadas nas folhas de dados dos inversores fotovoltaicos. Um teste em laboratório que não considera a dinâmica do sistema, por conseguinte, não trará resultados realistas o suficiente para caracterizar a eficiência do inversor.
Eficiências de Conversão e Produção de Energia de Microinversores
Um trabalho bastante interessante testou vários modelos de microinversores de fabricantes diferentes disponíveis no mercado mundial entre 2014 e 2017 [2]. Dentre as marcas de microinversor testadas, a APsystems estava presente, com o modelo YC500.
Figura 3 – Microinversor YC500 da APsystems. Fonte: APsystems.
Tanto na avaliação de desempenho de eficiência CEC quanto eficiência EU, o YC500 se apresentou na sexta posição do ranking. Entretanto, nos testes de avaliação de produção de energia em campo o YC500 subiu no ranking.
Durante a avaliação em campo foi constatado que alguns microinversores não foram capazes de acompanhar a rápida variação dos níveis de irradiância. Inclusive, foi relatado que um dos microinversores testados mostrou um desvio extremo de sua classificação de eficiência em relação aos resultados de produção de energia.
Isso mostra que, se um cliente desejar comprar um inversor eficiente e se basear somente nos valores informados na folha de dados ou mesmo nas medições das eficiências ponderadas (CEC ou EU), ele pode ser induzido a escolher um inversor de pior desempenho, em termos de produção de energia. Foi mostrado exatamente este exemplo em [2], onde um inversor com Eficiência EU de 95% apresentou uma produção de energia 22,1% menor que um inversor com 94,1% de Eficiência EU. Convém lembrar que atualmente as eficiências dos inversores apresentam valores maiores que estes.
Não estamos recomendando comprar um inversor com menor eficiência, mas fica evidente que a eficiência dada em folhas de dados não é mais importante do que o resultado de produção de energia obtido em campo. Em outras palavras, um proprietário de sistema fotovoltaico que comprou um inversor com uma eficiência ponderada maior, pode ter um adquirido um inversor que apresentará uma produção de energia significativamente menor. Aliás, uma afirmação bastante importante que foi dada no resumo do artigo é que “aparentemente, alguns inversores foram otimizados para mostrar excelentes classificações de eficiência UE e CEC” [2].
Eficiências de Conversão de Inversores de String
Tudo o que foi informado até aqui é válido para os inversores tradicionais de string, afinal, os microinversores são inversores fotovoltaicos também. Um trabalho bastante abrangente [8] apresentou os critérios mais relevantes para a seleção de um inversor fotovoltaico conectado à rede, mostrando que a eficiência de conversão CC-CA e a eficiência do seguidor do ponto de máxima potência estão entre os parâmetros essenciais.
No que diz respeito à eficiência de conversão CC-CA, este estudo afirma que, de todas as características de projeto e construção dos inversores, é o uso ou não de um transformador de isolação galvânica que mais influencia a eficiência de conversão DC-AC [8]. Mesmo que o próprio inversor não possua um transformador de isolação galvânica, eventualmente um transformador de acoplamento pode ser necessário. Neste ponto a APsystems se apresenta como um grande diferencial, visto que é possível encontrar em seu portfólio produtos que são compatíveis com os diversos níveis tensões de rede de distribuição secundária, ou seja, não é necessário o uso de um transformador.
Embora não haja uma grande diferença entre produtos de diferentes fabricantes no que diz respeito à eficiência de conversão CC-CA, este não é o caso da eficiência do seguidor do ponto de máxima potência (MPPT) [8]. Mesmo que uma parte do funcionamento do MPPT seja mencionado em [8], não vamos entrar nesse mérito (funcionamento do MPPT), pois como prometido em artigos anteriores, abordaremos o tema MPPT com detalhes em um outro artigo. Ainda assim recomendamos sua leitura completa.
Em suma, foi apresentado que a eficiência diária do MPPT também depende dos perfis de irradiância. Além disso, a eficiência também diminui em dias nublados e é melhor em dias de sol. Por fim, da mesma forma como relatado em [2], em [8] também foram observados inversores com comportamento "anômalo" no que diz respeito.
Eficiência vs. Produção de Energia
Já falamos anteriormente que a eficiência de um sistema fotovoltaico não é determinada somente pela eficiência dos módulos ou somente pela eficiência dos inversores. Ainda mais agora que vimos que a eficiência dos inversores pode não representar adequadamente o que ela se propõe a representar. Então vamos falar de produção de energia.
Inversores centrais ou de string podem parecer mais eficientes, visto que normalmente os valores de suas eficiências de pico apresentadas em folhas de dados são ligeiramente maiores. Por outro lado, é bem sabido que a arquitetura de sistemas fotovoltaicos com microinversores geram mais energia, principalmente por reduzir ou eliminar as perdas por mismatch [9-13].
Conclusão
Fabricantes de inversores podem não apresentar informações sobre a variação da eficiência do inversor em relação à sua tensão de entrada. Também não é comum encontrar informações sobre a eficiência do inversor em diferentes tensões de máxima potência.
Além disso, mesmo que o fabricante de inversor fotovoltaico apresente em sua folha de dados técnicos a eficiência de pico, europeia (EU) ou californiana (CEC), vimos que:
Estas divergências em campo se devem principalmente à eficiência dinâmica do MPPT, que não é muito previsível, pois não existe uma definição de variação padrão de irradiância. É por este motivo que é possível encontrar no mercado inversores fotovoltaicos que, mesmo apresentando um valor de eficiência em folhas de dados relativamente maior, podem apresentar produções de energia menores. Isso também mostra que uma caracterização de eficiência em laboratório não pode ser tomada como parâmetro na hora de escolher o inversor que apresentará a maior geração.
Isto eleva ainda mais o nível de responsabilidade do projetista, visto que não é possível avaliar a real eficiência dos inversores fotovoltaicos com base apenas na folha de dados técnicos. Neste ponto, a experiência do projetista com os resultados de geração obtidos em campo é muito mais importante.
A notícia boa é que, por tudo isso, a única maneira de garantir o máximo aproveitamento de energia é usando sistemas fotovoltaicos com eletrônica de potência à nível de módulo (MLPE) de qualidade comprovada no mercado.
Referências
[1] Soteris A. Kalogirou, “Solar Energy Engineering: Processes and Systems”, 2nd Edition, Academic Press, 2014. ISBN–13: 978-0-12-397270-5.
[2] Stefan Krauter and Jörg Bendfeld, “Update on Rankings of Conversion Efficiencies and Energy Yield of Micro-Inverters, including Inverters for Two PV Modules”, Proceedings of 33rd European Photovoltaic Solar Energy Conference (EU-PVSEC 2017), Amsterdam, Sep. 2017, p. 1477-1481.
[3] W. Bower, C. M. Whitaker, W. Erdman, M. B. Behnke, and M. Fitzgerald, “Performance Test Protocol for Evaluating Inverters Used in Grid-Connected Photovoltaic Systems”, Sandia National Laboratories, 22-Nov-2004.
[4] Telma A. M. S. Bassan, Jair U. Junior, “Análises de Equações de Eficiências de Inversores através de um Comparativo Prático”, VII CBENS, 2018.
[5] A. Pinto, R. Zilles, M. Almeida, “Eficiência Brasileira de Inversores para Sistemas Fotovoltaicos Conectados à Rede”, Avances en Energías Renovables y Medio Ambiente, Vol. 15, 2011.
[6] Henze N., Bründlinger R., Härberlin H., Burguer B., Bergmann A. e Baumgartner F. (2009). “prEN 50530 - The New European Standard for Performance Characterisation of PV Inverters”, 24th European Photovoltaic Solar Energy Conference, 3105-3109.
[7] F. Baumgartner et al., “Status and Relevance of the DC Voltage Dependency of the Inverter Efficiency”, 22nd EUPVSEC, Milano, 2007.
[8] Alonso Abella M., Chenlo F., “Choosing the Right Inverter for Grid-Connected PV Systems”. Renewable Energy World, 2004; 7(2):132-147.
[9] Frontin, Sergio de Oliveira et al. “Usina Fotovoltaica Jaíba Solar: Planejamento e Engenharia”. Teixeira Gráfica e Editora Ltda., 2017. 528 p. ISBN: 978-85-88041-12-7.
[10] Araujo, F. O., Leme, S. P. L., Araujo, L. O., Santos, B. L. S. E., Higuti, L. A. H. “Proposta de Adaptação da Norma Brasileira ABNT NBR 16274 e de alguns Pontos em Normas Técnicas em Determinadas Concessionárias para Correta Avaliação da Metodologia de Projeto de Sistemas Fotovoltaicos Conectados à Rede com Inversor Orientado ao Módulo”. VI CBENS, 2016.
[11] National Renewable Energy Laboratory – NREL, “Modeling Microinverters and DC Power Optimizers in PVWatts”, Technical Report NREL/TP-5J00-63463, Feb. 2015.
[12] National Renewable Energy Laboratory – NREL, “A Performance and Economic Analysis of Distributed Power Electronics in Photovoltaic Systems”, Technical Report NREL/TP-5200- 50003, Jan. 2011.
[13] National Renewable Energy Laboratory – NREL, “Photovoltaic Shading Testbed for Module- Level Power Electronics: 2016 Performance Data Update”, Technical Report NREL/TP- 5J00- 62471, Sep. 2016.

Não há comentários neste artigo